2023年12月3日,九芝堂美科使用人骨髓間充質干細胞(hBMMSC)治療自閉癥的臨床前藥效學研究論文《Intravenous transplantation of bone marrow-derived mesenchymal stem cells improved behavioral deficits and altered fecal microbiota composition of BTBR mice》(骨髓間充質干細胞靜脈移植改善BTBR小鼠的行為缺陷并糾正其糞便微生物群組成),已經正式被國際知名學術期刊《Life Sciences》接收并發表。

該論文運用翔實的數據,充分證實了人骨髓間充質干細胞(hBMMSC)治療自閉癥模型動物的有效性,并在國際上首次提出了干細胞治療對于自閉癥模型動物腸道菌群的影響。這也預示著干細胞或在治療自閉癥方面存在巨大開發潛力。
自閉癥譜系障礙(Autism Spectrum Disorder,ASD),又稱孤獨癥,是一種高度復雜的神經發育障礙性疾病。該疾病起病于嬰幼兒時期,以社會交往障礙、交流障礙、局限興趣、刻板與重復行為方式為主要臨床表現,多數患兒還會伴有不同程度的精神發育遲滯。據統計,我國目前大約有1300萬自閉癥患兒,平均每100個孩子中就有一個自閉癥,全球目前自閉癥患兒已經超過6700萬。目前針對自閉癥尚無明確的治療方法,屬于未被滿足的醫療需求,迫切需要找到新的治療策略。
九芝堂美科的臨床團隊,通過多個時間點的曠場(open field test,OFT)、明暗箱(light-dark box test,LDT)、新物體識別(novel object recognition,NOR)、自由社交(free social test,FST)、刻板行為(stereotypic behavior,SB)等一系列行為學試驗(圖1、2、3),發現了人骨髓間充質干細胞(hBMMSC)靜脈治療可有效緩解了BTBR小鼠的自閉癥樣癥狀,主要表現為運動、焦慮行為及刻板行為的減少,社會缺陷的補救等。

(圖1)
圖1,人骨髓間充質干細胞(hBMMSC)治療可改變BTBR小鼠的焦慮和探索性運動。A.曠場實驗方案。B.曠場試驗中BTBR和C57小鼠的預處理,包括總距離、轉角總距離、中心運動總數和轉角運動總數。C.用總距離、轉角總距離、中心總移動次數、轉角總移動次數表示的曠場試驗線形圖。D.明暗箱試驗方案。E.明暗箱測試焦慮和探索性測試的折線圖用明箱時間和光運動總數表示。數據以mean±SEA表示。每組N = 12。與C57-veh組相比,?p < 0.05; ??p < 0.01; ???p < 0.001; ????p < 0.0001;與BTBR-veh組相比, #p < 0.05; ##p < 0.01。組內及組間比較采用Tukey方法進行方差分析。

(圖2)
圖2,人骨髓間充質干細胞(hBMMSC)治療可以改善BTBR小鼠在社交任務中的社交缺陷。A.社會互動任務方案。B. BTBR和C57小鼠在社會互動任務中的預處理,包括接近次數、接近時間、接近和跟隨次數、接近和跟隨時間的折線圖。社會互動測試表現為接近時間,接近時間,接近和跟隨時間,接近和跟隨時間。數據以mean±SEA表示。每組N = 12。與C57-veh組相比, ?p < 0.05; ???p < 0.001; ????p < 0.0001; 與BTBR-veh組相比,#p < 0.05; ##p < 0.01 。組內及組間比較采用Tukey方法進行方差分析。

(圖3)
圖3,人骨髓間充質干細胞(hBMMSC)治療對挽救認知記憶缺陷和改變刻板行為的影響。A.新物識別方案。B.預處理各組小鼠的識別指數。C.各組小鼠預處理偏好指數。新目標識別的線形圖表示為。D .識別指數和 E.偏好指數。F.治療前C57和BTBR小鼠的刻板行為持續時間。G. 每個測試時間點C57和BTBR小鼠的刻板行為持續時間。H. C57和BTBR小鼠皮毛狀況。I. C57和BTBR小鼠皮毛狀態評分。數據以mean±SEA表示。每組N = 12。與C57-veh組相比,?p < 0.05; ???p < 0.001; ????p < 0.0001; 與BTBR-veh組相比,#p < 0.05; ##p < 0.01 。組內及組間比較采用Tukey方法進行方差分析。
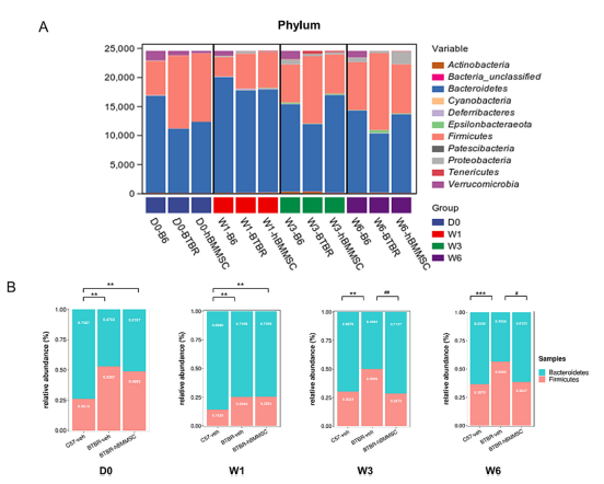
通過在不同連續時間點進行16s rDNA測序,可以看到腸道菌群的調整。值得注意的是,人骨髓間充質干細胞(hBMMSC)治療成功地糾正了BTBR小鼠中微生物群的相對豐度失調,并確定了特定的分化類群(圖4、5)。

(圖4)
圖4,人骨髓間充質干細胞(hBMMSC)治療改變了自閉癥相關的微生物群失調。A.三個類群在不同時間點的門分類水平柱狀圖,與C57-veh組比較,??p < 0.01, ???p < 0.001;與BTBR-veh組相比,#p < 0.05, ##p < 0.01。厚壁菌門/擬桿菌門比值的Wilcoxon秩和檢驗。B. C57和BTBR小鼠擬桿菌門和厚壁菌門的平均豐度(%)。

(圖5)
圖5,spearman相關矩陣顯示正(紅色)和負(藍色)相關。?p < 0.05, ??p < 0.01, ???p < 0.001。
《Life Sciences》是一本以醫藥學綜合研究為特色的SCI國際期刊,最新影響因子6.1分。本次SCI論文的成功發表,充分彰顯了九芝堂美科在自閉癥臨床科研自主創新方面的實力。不到一年的時間,九芝堂美科臨床團隊已接連完成兩篇SCI文章的接收發表,取得了歷史性的新突破。這是九芝堂美科高度重視科研工作,以科研創新點燃企業發展引擎,持續加大干細胞產品研發投入,夯實企業發展根基的重要表現,同時也代表著九芝堂美科的自閉癥最新臨床科研成果受到了國際權威學術界的高度關注與認可。
注:本文圖片來源于《Life Sciences》期刊